无形资产许可费节省法、超额收益法评估操作实务
主讲老师 赵强
一、无形资产的定义、分类及评估方法简介
1.无形资产的定义
评估准则定义无形资产:特定主体所拥有或者控制的,不具有实物形态,能持续发挥作用且能带来经济利益的资源。
《企业会计准则第6号——无形资产》(以下简称“会计准则”)定义无形资产:企业拥有或者控制的没有实物形态的可辨认非货币性资产。
2.两个准则中对无形资产定义的比较
两个定义的区别点:
评估准则强调了特定主体控制这个理念,更关注特定主体控制下的产权关系对无形资产的影响,会计准则定义没有强调特定主体控制;
按会计准则定义金融衍生品不属于无形资产,但按评估准则的定义属于无形资产;
评估准则中的无形资产范围大,既包括可辨认无形资产,也包括不可辨认无形资产。
两个定义的相同点:都强调不具有实物形态。
3.可确指无形资产和不可确指无形资产
根据国内《无形资产评估准则》可确指的无形资产包括:专利权、商标权、著作权、专有技术、销售网络、客户关系、特许经营权、合同权益等。不可确指的无形资产是指商誉。
根据美国会计准则,无形资产的确指标准:
(1)是否存在法律或合同规定的权力;
(2)是否可以与企业整体分离转让、出租和许可等;
(3)一般认为满足上述任何一条就可以确认为可确指无形资产。
国际会计准则/评估准则给出的辩识标准:
(1)是否存在法律或合同规定的权力;
(2)是否可以与企业整体分离转让、出租和许可等;
(3)一般认为满足上述任何一条就可以确认为可确指无形资产。
国内会计准则(2010版讲解稿)也采用上述标准:
(1)能够从企业中分离或者划分出来,并能单独用于出售或转让等,而不需要处置在同一获利活动中的其他资产,表明无形资产可以辨认;
(2)产生于合同性权利或其他法定权利,无论这些权利是否可以从企业或其他权利和义务中转移或者分离。
4.国际评估准则对无形资产的分类
(1)市场相关类无形资产(Market-related Intangible Asset)
①商标(服务名称、集体商标和确认商标);
②交易包装(独特颜色、包装形状);
③报纸、杂志刊目;
④互联网域名;
⑤非竞争协议。
(2)客户和供应商相关类无形资产(Customer or Supplier-related Intangible Assets)
①供应协议、服务协议;
②许可合同、雇佣合同;
③定单册;
④相关资产使用权(勘探权、用水权、森林采伐权和机场降落权等);
⑤特许经营协议;
⑥客户关系、客户清单。
(3)技术相关类无形资产(Technology-related Intangible Assets)
①专利;
②专有技术;
③Know-how;
④计算机软件;
⑤数据库。
(4)艺术相关类无形资产(Artistic-related Intangible Assets)
①电影、电视作品著作权;
②音乐作品著作权;
③艺术作品等。
5.无形资产评估的途径与方法
成本途径法:以重新开发出被评估知识产权所花费的物化劳动来确定评估价值;
收益途径法:以被评估资产未来所能创造的收益的现值来确定评估价值;
市场途径法:以同类资产的交易价值类分析确定被评估资产的价值。
最常用的评估方法是收益途径的评估方法。
无形资产评估的收益途径法:
(1)提成法/许可费节省法(Relief-from-royalty,or royalty savings,method)(有些资料将其作为市场法)
(2)增量收益法(Premium profits,or incremental income,method)
(3)超额收益法(Excess earnings method)
①单期间超额收益法;
②多期间超额收益法。
其中提成法/许可费节省法和超额收益法中多期超额收益法最为常用!
二、许可费节省法评估操作实务
1.许可费节省法(提成法/分成法)的概念
许可费节省法是通过估算一个假设的无形资产受让人如果拥有该无形资产,就可以节省许可费支出,将该无形资产经济寿命期内每年节省的许可费支出通过适当的折现率折现,并以此作为该无形资产评估价值的一种评估方法。
许可费一般分为两部分:入门费和建立在每年经营业绩基础上的提成费或分成费。
许可费率估算是许可费节省法应用的关键。
2.许可费率(提成率/分成率)的定义
无形资产分成率=无形资产的收益/(无形资产产品/服务的全部收益)
无形资产提成率=无形资产的收益/(无形资产产品/服务销售收入)
许可费率定义式中分子——无形资产的收益可以采用利润或现金流衡量:
(1)采用利润衡量,则为利润口径的提成率/分成率;
(2)采用现金流衡量,则为现金流口径的提成率/分成率;
(3)采用税前收益衡量,则为税前口径的提成率/分成率;
(4)采用税后收益衡量,则为税后口径的提成率/分成率。
3.许可费节省法(提成法/分成法)的操作
操作的核心就是估算许可费率(提成率/分成率)。
许可费率的估算通常有以下方式:“三分”/“四分”分成方式(经验数据方式);市场案例方式;对比公司方式。
(1)许可费率的“三分”/“四分”估算方式
“三分”分成法:企业的收益是资金、劳动力和技术三项因素共同创造的,技术占33%。
“四分”分成法:企业的收益是资金、劳动力、技术和管理四项因素共同创造的,技术占25%。
“四分法”应该是在“三分法”基础上的进一步发展。
“三分”/“四分”法实际是一种经验数据法,源于上世纪八十年代前,技术是企业最主要的无形资产,因此有一种说法就是该方法实际是技术的分成法。
但是现代企业中技术不再是唯一的无形资产,因此如果采用该方法获得的“分成”应该理解为企业全部无形资产所创造的收益,而不能简单理解为是单项技术无形资产所创造的收益。
该方法是利润的分成,不是现金流收益的分成。
“三分”和“四分”分成法估算方式具体操作:
①将利润分成率换算为现金流分成率
设:净利润分成率为λ=33%或25%;
被评估技术拟实施企业净利润与EBITDA的比率为γ;
则,现金流口径的分成率分别为:
![]()
②将利润分成率换算为现金流提成率
设:净利润分成率为λ=33%或25%;
被评估技术拟实施企业销售净利润率为δ;
被评估技术拟实施企业净利润与EBITDA的比率为γ;
则:现金流口径的提成率和分成率分别为:
税前提成率![]()
“三分”/“四分”方式的优/劣势分析:
①优势:
估算简单,容易理解;
比较适合传统行业的评估。
②劣势:
方法的理论基础欠缺;
不适用现代高科技行业无形资产的评估;
对于评估某些单项无形资产时需要进行一些修正。
“三分”/“四分”方式操作的参数估算:
被评估技术拟实施企业销售净利润率δ和净利润与EBITDA的比率为γ的估算;
被评估无形资产实施企业的历史数据;
以对比公司数据为基础推算被评估技术拟实施企业的相关数据。
【案例1】
假设采用对比公司数据估算的被评估无形资产未来实施企业的数据如下:
销售净利润率δ=7.3%
净利润/EBITDA γ=66.4%
则:

(2)市场案例方式
所谓市场案例方式就是寻找市场上成交的与被评估无形资产类似的无形资产许可费率实际成交价或合理的报价,通过分析对比案例数据确定被评估无形资产的许可费率。
市场对比案例应该选择与被评估无形资产将要交易的同一市场上成交的或合理报价的数据。
但目前国内尚不具备这样的交易数据的数据库,因此尚无法在国内市场上选择对比案例。
目前可以选择是在国际市场上成交的对比案例。
国际市场无形资产许可费案例数据库:
美国ktMINE提供的国际市场上无形资产许可费数据库:
①ktMINE数据库是目前国际上提供无形资产许可费率最全面的数据库之一,该数据库目前收集了超过12 000份无形资产交易协议,有超过40 000个无形资产交易价值信息;
②比威迪信息咨询公司(Bureau van Dijk)是该公司在国内的代理商,可以在国内购买该数据库的使用权。





案例分析方式的优/劣势分析:
①优势:
许可费数据直接来源于市场,可靠性较高;
不但适合传统行业无形资产评估,也适合高新技术行业的无形资产评估。
②劣势:
案例是国际市场数据,不能直接反映国内市场价值;
国际无形资产的分类方式与国内不完全一致,因此会对无形资产的可比性产生影响;
目前数据量也还存在不足的问题,选择可比案例的空间有限;目前网站已有中文翻译,但主要的一些资料还是英文的。
【案例2】
ktMINE数据库检索结果表

(3)对比公司方式
①对比公司方式的概念
所谓对比公司法就是在国内上市公司中选择与被评估无形资产拟实施企业位于同行业的上市公司作为“对比公司”,由于对比公司与被评估无形资产拟实施的企业处于同行业,因此对比公司中应该也存在无形资产,其发挥作用的方式以及功能与被评估无形资产在拟实施企业发挥作用的方式及功能相同或相似,具有可比性。
我们可以通过对比公司中相关无形资产所创造收益占全部收入的比例来估算对比公司相关无形资产的许可费率,再以对比公司中相关无形资产许可费率为基准,估算被评估无形资产的许可费率。
对比公司法的实质就是将对比公司中相关无形资产的许可费率通过逻辑推导合理地计算出来。
由于对比公司股票交易可以理解为投资者对对比公司整体资产价值的认定,因此也间接的确定了对比公司中无形资产的价值。
利用对比公司法确定无形资产许可费率的理论基础。
无形资产评估的原则:
一是贡献原则;
二是利益主体变动原则。
委估无形资产假设的受让方应该与处于同行业的对比公司在无形资产贡献方面存在相同或相似的地方。
无形资产对收益流的贡献:
如果我们假定同等价值的资产创造同等价值的收益:
无形资产对收益流的贡献=全部收益流×(无形资产市场价值/全部资产市场价值)=全部收益流×无形资产市场价值/(股权市场价值+债券市场价值)
上市公司全部无形资产的市场价值=全部经营性资产的市场价值-经营性流动资产(营运资金)的市场价值-经营性固定资产的市场价值
经营性流动资产的市场价值——以账面价值替代;
经营性固定资产的市场价值——以账面价值替代;
上述两个替代属于近似处理,存在瑕疵!
利用上式中计算得到的无形资产应该是包括对比公司的全部无形资产的组合。
对于单类/单项的资产,则可以通过分析该类/该项资产占全部无形资产组合的比重,进行进一步分割。
现代企业中最主要的无形资产是以技术为核心的无形资产和以商标(品牌)为核心的无形资产,不同行业由于产品特性不同,技术和商标发挥的作用也不尽相同。
综合分析方法确定所评估的单类/单项资产占全部无形资产的比重。
一个需要注意的问题:土地、房屋使用权等无形资产的处理。
②对比公司方式的操作步骤
第一步:对比公司的选择
对比公司的选择一般条件:国内A股上市公司的公司;仅发行A股股票一种;股票交易活跃并且有至少24个月的公开交易历史;经营范围与被评估无形资产拟实施的企业相同或相似等。
对比公司选择特别条件:公司规模、盈利状况相似;公司经营地域范围相同或相似等。
第二步:衡量对比公司经营收益流的口径
a.现金流口径
销售收入-销售成本-销售费用-管理费用+折旧/摊销(股权投资口径,税前);
EBIT+折旧/摊销(EBITDA)(全投资口径、税前)。
b.利润口径
销售收入-销售成本-销售费用-管理费用(股权投资口径,税前);
EBIT(全投资口径、税前)。
c.一般选择现金流口径
第三步:对比公司企业价值/无形资产价值的确定
全部经营性资产的市场价值=股权市场价值+债权的市场价值-非经营性资产的净值
合理处理非经营性资产的价值。
非经营性资产确认:交易性金融资产、可供出售金融资产;持有至到期投资、长期应收款、投资性房地产、长期股权投资。
非经营性负债确认:交易性金融负债等。
第四步:计算对比公司整体价值
E股权市场价值:
E=股权总数×收盘价×(1-缺少流动折扣率)(全流通)
对于存在限制的股份,也可以采用上述公式计算。
D债权市场价值:
D=流动负息负债账面值+长期负债账面值
整体价值=D+E
缺少流动性折扣:
a.美国评估界对流动性的定义
资产、股权、所有者权益以及股票等以最小的成本,通过转让或者销售方式转换为现金的能力。
b.美国评估界对缺少流动折扣的定义
在资产或权益价值基础上扣除一定数量价值或一定比例,以体现该资产或权益缺少流动性。
流动性实际是资产、股权、所有者权益以及股票在转换为现金时其价值不发生损失的能力。
国际上对流动性溢价/缺少流通折扣的研究主要通过以下三个途径:
a.限制股票交易研究(Restricted Stock Studies)
该类研究的思路是通过研究销售存在限制性的股票的交易价与同一公司销售没有限制的公司股票的交易价之间的差异来估算缺少流动性折扣。
b.IPO前研究(Pre-IPO Studies)
该类研究的思路是通过公司IPO前股权交易价格与后续上市后股票交易价格对比来研究缺少流动性折扣。
c.金融衍生定价方式研究
该类研究是采用股票对冲期权的方式研究缺少流动折扣。
缺少流通折扣(Discount for Lack of Marketability)的美国研究:
a.SEC Institutional Study
b.Gelman Study
c.Trout Study
d.Moroney Study
e.Maher Study
上述研究认为折扣率在30%左右。
国内估算缺少流动性折扣的研究:
a.法人股交易价格研究;
b.股权分置改革支付对价研究;
c.非上市公司购并市盈率与上市公司市盈率对比方式。
采用非上市公司并购市盈率与上市公司市盈率差异研究缺少流动折扣率。
缺少流动折扣率研究结论——非上市公司购并市盈率与上市公司市盈率对比方式:

第五步:对比公司截止评估基准日无形资产许可费率的估算
a.计算对比公司中无形资产占全部资产的比例α;
b.分析判断与被评估无形资产同类的无形资产在对比公司全部无形资产中的比例β;
c.则α×β就是与被评估无形资产可比的对比公司内相关无形资产占对比公司全部资产的比例;
d.查找截止评估基准日最近一个会计年度对比公司的EBITDA,然后乘以α×β得到与被评估无形资产可比的对比公司内相关无形资产所创造现金流年收益;
e.查找对比公司对应会计年度的销售收入λ。
则:该年与被评估无形资产可比的对比公司内相关无形资产的贡献占销售收入的比率:

可以采用上述方式计算对比公司3~5年的相关无形资产贡献占销售收入的比率。
采用平均或其他合理的方式确定对比公司无形资产截止评估基准日的贡献占销售收入的比率。
第六步:被评估无形资产贡献占收入比率的毛利率调整
无形资产在经济寿命期内的不同时期贡献率是不一样的;
可以采用毛利率来衡量无形资产在经济寿命期内的不同阶段的差异。

第七步:确定被评估无形资产的许可费率
我们通过前述步骤估算出来的无形资产贡献比率应该理解为被评估无形资产截止评估基准日的许可费率。
无形资产的贡献应该在无形资产寿命周期内随时间的推移存在下降的趋势并趋于零(商标除外);
无形资产的贡献比率也应该呈现下降趋势;
因此被评估无形资产在未来经济寿命期内各年的贡献比率应该呈下降的一个序列。
根据上述步骤估算的无形资产的贡献率实际是一个逐年递减的比率序列,不是一个固定的费率,但根据惯例,许可费率一般都是采用一个在无形资产寿命期内固定的比率,为此,我们需要将上述比率序列转换为一个等效的固定无形资产许可费率,具体转换的方式如下:
设:
被评估无形资产产品每年实现收入Salei(i=1,2,3,…,n);
采用对比公司法估算的无形资产贡献比率为Royaltyi(i=1,2,3,…,n);
折现率为R;
则:无形资产的许可费Royalty应该满足下式:

即:

对比公司方式的优/劣势分析:
①优势
对比公司直接来自国内市场,因此可以直接反映国内市场情况;
可以根据选择不同行业的对比公司,合理反映不同行业无形资产的特点;
不但适合传统行业无形资产评估,也适合高新行业的无形资产评估。
②劣势
不是市场上无形资产成交的直接许可费率数据,是一个通过推导计算得到的间接数据;
国内上市公司数量有限,对比公司的选择空间有限,可能会影响评估结论的可靠性;
对比公司总资产的市场价值容易受到股票市场干扰因素的影响;
估算过程中存在近似处理,过程有瑕疵。
(4)总结
通过对目前可以选择的估算许可费率三种方式的分析,我们可以得到如下结论:
目前可以选择的三种估算许可费率的方式都有自身的优点但也存在不足;
在实务操作中建议应该采用三种方式分别估算许可费率,最后综合分析确定被评估无形资产最合理的许可费率。
(5)案例
对比公司法估算许可费案例







三、超额收益法评估操作实务
1.超额收益法概念
超额收益法是先估算被评估无形资产与其他贡献资产共同创造的整体收益,在整体收益中扣除其他贡献资产的贡献,将剩余收益确定为超额收益,并作为被评估无形资产所创造的收益,将上述收益采用恰当的折现率折现以获得无形资产评估价值的一种方法。
超额收益法可以分为单期间超额收益法和多期间超额收益法。
一般认为企业的收益都是由企业拥有的各类资产创造的,包括有形资产和无形资产。
企业各类可确指的资产对企业整体收益的贡献是可以分割估算的:
(1)流动资产的贡献可以分割计算;
(2)固定资产的贡献可以分割计算;
(3)可以确指的无形资产的贡献也可以分割计算。
如果企业整体收益扣除各类可确指的资产的贡献之和后相比仍有剩余,则这个剩余收益就被称为超额收益,超额收益法就是将这种超额收益折现得到无形资产的评估值。
2.贡献资产(Contributory Asset)的概念
贡献资产是指与被评估无形资产一起共同发挥作用并与被评估无形资产一起对未来收益产生贡献的资产。
(1)与被评估无形资产共同发挥作用的资产;
(2)与被评估无形资产共同形成收益流。
对于一个特定的无形资产不是企业的所有有形资产对于该无形资产来说都是贡献资产。
3.贡献资产的分类
|
序号 |
资产种类 |
资产组成 |
|
1 |
营运资金(流动资产) |
现金、应收款、存货、应付款和预提费用等 |
|
2 |
固定资产 |
房地产、设备和办公设备等 |
|
3 |
无形资产 |
知识产权、客户关系、非竞争协议和劳动力等 |
4.各类贡献资产的特点
营运资金(流动资产):在与被评估无形资产共同创造收益的过程中自身一般不发生价值损耗。
固定资产:在与被评估无形资产共同创造收益的过程中自身价值发生损耗。
无形资产:一般的无形资产与固定资产相似,也有价值损耗问题,但一般认为商标资产特殊。
5.组合劳动力(Assembly Work Force)
组合劳动力被认为是不可确指的无形资产——商誉的组成部分。
组合劳动力可以单独采用成本法估算其公允价值:
(1)劳动力招募成本;
(2)劳动力的培训成本。
6.贡献资产贡献率的估算
(1)营运资金(流动资产)贡献率的估算
营运资金贡献率(Contributory Asset Charges or CAC)的定义:
营运资金贡献率=营运资金贡献÷销售收入
营运资金贡献的组成:由于营运资金在经营业务过程中,价值一般不发生变化,其投资者可以在经营结束后回收,因此营运资金的投资者仅需要投资回报(Return On)即可。
(2)固定资产贡献率的估算
固定资产贡献率的定义:
固定资产贡献率=固定资产贡献÷销售收入
固定资产贡献的组成:
由于固定资产在经营过程中自身价值发生损耗,因此投资者期望收益应包括回收固定资产自身价值和投资回报两部分。
固定资产的贡献包括两部分:
①固定资产损耗的补偿(Return Of)
②固定资产投资的回报(Return On)
固定资产贡献率估算的两种基本方法:
①年度平均余额法(Average Annual Balance Method)
固定资产损耗的补偿(Return Of):年损失补偿采用固定资产账面净值/综合折旧年计算。
固定资产投资的回报(Return On):可取5年贷款利率(税前);或以股权投资回报率和5年贷款利率的加权平均值,权重分别为30%:70%(这个权重是参考国家发改委审批项目时,自由资金与借贷资金的比例)。
②租金支付法(Level Payment Method)
可以采用等额年金方式确定。
年回报额=-PMT(期望投资回报率,综合尚可使用年限,固定资产净值,0,1)
这里的PMT是Excel的一个内部函数。
(3)可确指无形资产贡献率的估算
无形资产贡献率的定义:
无形资产贡献率=无形资产贡献÷销售收入
可确指无形资产贡献的组成:
由于可确指无形资产在经营过程中自身价值发生损耗,因此投资者回报也应该含两部分。
无形资产的贡献包括两部分:
①无形资产损耗的补偿(Return Of)
②无形资产投资的回报(Return On)
(4)组合劳动力贡献率的估算
组合劳动力贡献率的定义:
组合劳动力贡献率=组合劳动力贡献÷销售收入
组合劳动力贡献的组成:
组合劳动力的贡献为组合劳动力投资的回报(Return On)。
7.多期超额收益法的操作步骤
(1)将被评估无形资产和与其共同发挥作用的相关资产组成一个资产组(CGU);
(2)调整溢余资产——包括资产能力溢余;
(3)预测资产组的预期经营业绩(Prospective Financial Information or PFI);
资产组的预期收益应该基于市场价值基础上,任何针对特殊投资者的协同效应产生的附加收益不应考虑在内。
超额收益应该采用现金流,一般不采用利润。
(4)未来经营业绩预测的调整;
(剔除可能的非正常项目的收益/费用)
(5)固定资产/无形资产折旧/摊销预测;
(6)未来资本性支出预测;
(7)确定贡献资产(Contributory Assets);
(8)确定贡献资产的贡献率(Contributory Asset Charge or CAC);
(9)估算贡献资产的市场价值和全部合理贡献;
(10)从全部经营收益中减去全部贡献资产的贡献得到“超额收益”;
(11)确定超额收益的折现率;
(12)将每年的超额收益折现得到现值和;
(13)最后确定全部被评估无形资产的价值。
8.案例
多期超额收益法评估客户关系的案例












9.期超额收益法应用的注意事项
(1)资产组的预期收益应该基于市场价值基础上,任何针对特殊投资者的协同效应产生的附加收益不应考虑在内;
(2)贡献资产应该具有正常规模水平,对于在建的资产应该考虑其完成后的资产规模作为正常规模水平;对于有溢余资产也需要调整;
(3)超额收益应该采用现金流,一般不采用利润;

(4)折旧/摊销按公允价值为基础计算;
(5)贡献资产回报率一般是基于资产的公允价值基础上的;
(6)折现率与收益流口径保持一致;
当预期超额收益采用税前现金流时,则折现率需要采用税前折现率。
当预期超额收益采用税后现金流时,则折现率需要采用税后折现率,同时还需要考虑税务摊销收益(Tax Amortization Benefit)。
(7)多期超额收益法一般适用评估一些非传统无形资产—客户关系、未结定单等,但需要注意不适用现金流存在重叠的无形资产评估;
(8)多期超额收益法还比较适合特许经营权等无形资产的评估;
(9)矿权的DCF评估方法实质上也是多期超额收益法的应用。
10.无形资产税务摊销价值的概念
在无形资产进行转让时,由于受让方通常都可以将受让的无形资产按购买价值入账。
按照会计准则的要求,无形资产账面价值应该在其经济寿命内逐年摊销,并且每年的摊销额可以税前列入成本、费用抵减所得税应纳税额。
由于资产假设受让者减少所得税支出,因此可以为受让方产生收益,因而具有价值属性。
由于摊销抵税产生的价值就称为税务摊销价值(Tax Amortization Benefit or TAB)。
税务摊销价值的估算公式:
设:无形资产计算评估价值为A;
采用直线摊销,摊销期为n年;
所得税率为T;
折现率为r;
无形资产税务摊销价值为X。
根据假设,无形资产最后的价值应该为A+X
按n年直线摊销,则每年的摊销额为:![]()
每年抵减所得税为:![]()
n年总共抵税收益流现值和为:

我们设
,则上式可以改写为:
![]()

TAB计算公式中的r应该采用什么折现率,无形资产折现率?还是其他折现率?
首先想到的是无形资产折现率。
理由是我们在进行无形资产评估,但进一步考虑,我们会发现TAB的风险与企业经营现金流的风险更接近,与无形资产的风险并不直接相关。
是否更应该考虑采用WACC作为这里的折现率更合理?
国内资产评估关于TAB的有关规定:
《上海市知识产权质押评估技术规范(试行)》第四十八条 注册资产评估师在运用收益法评估知识产权时,应当考虑因知识产权摊销而减少的纳税额对评估结果的影响。通过资本化知识产权在税收年限中因摊销而减少的纳税额,从而增加被评估知识产权的价值,即税收摊销收益。
四、无形资产折现率估算操作实务
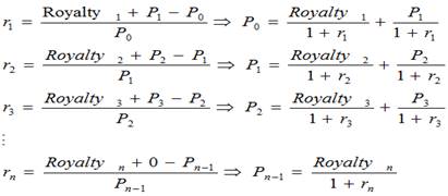
1.无形资产折现率的概念
假设投资者期初无形资产投资为P0:


如果每年的投资风险均等,投资回报率一致。
即r1=r2=r3=…rn=r
则:

或:

即:期初投资的价值等于投资期每年提成现金流现值和。
无形资产投资者每年的期望投资回报率r就是无形资产的折现率。
从折现率ri的定于中:

可以得到折现率是每年投资收益扣除无形资产本身价值贬损后的净收益除以期初投资的比率减去投资回报率。
2.无形资产折现率估算的分类

如果Royalty是按利润口径计算的,则折现率就是利润口径折现率;
如果Royalty是按现金流口径计算的,则折现率就是现金流口径折现率。
无形资产评估需要“保持预期收益口径与折现率口径一致”。

保持折现率中无形资产预期年收益流的口径与需要折现的收益流口径一致。
“保持口径一致”的内涵:
如果无形资产预期收益预测口径为利润口径,则折现率中的分子——无形资产预期收益流口径也应该是利润口径;
如果无形资产预期收益预测口径为现金流口径,则折现率中的分子——无形资产预期收益流口径也应该是现金流口径;
如果无形资产预期收益预测口径为税前(或者税后)收益流口径,则折现率中的分子——无形资产预期收益流口径也应该是税前(或者税后)收益口径;
如果预期收益考虑物价因素,则折现率估算也应该考虑物价因素。
无形资产折现率应当区别于企业或其他资产折现率:

企业整体回报率R不同于流动资产回报率R流动、固定资产回报率R固定以及无形资产回报率R无形;
无形资产评估时一般应该采用无形资产回报率,不能采用企业整体回报率R,也不能采用流动资产回报率R流动或者固定资产回报率R固定。
企业各类资产折现率的逻辑关系:
(1)资产折现率一般符合以下规律
R流动≤R固定≤R无形
(2)股权投资回报率、债权投资回报率一般符合以下规律

资产折现率与WACC之间的关系:

3.无形资产折现率
企业资产由流动资产、固定资产和无形资产组成;
投资不同类的资产所承担的风险不完全一致;
WACC应该理解为投资整个企业的平均投资回报率。

其中:
Rc:营运资金(流动资产)的投资回报率;
Rf:固定资产的投资回报率;
Ri:无形资产的投资回报率。

全部经营性资产=股权市场价值×(1-缺少流通折扣率)+负息债权价值-非经营性资产的净值
营运资金=流动资产-非负息流动负债
固定资产=固定资产账面价值
无形资产=全部资产-营运资金-固定资产=全部经营性资产-营运资金-固定资产
Rc:流动资产投资回报率;
Rf:固定资产投资回报率。
营运资金投资回报率Rc:
企业营运资金一般都是利用银行借款,因此可以以银行一年期以内贷款利率为基础估算Rc。
银行贷款利率被认为是税前的Rc税后的营运资金投资回报率为:

固定资产投资回报率Rf:
企业固定资产投资一般都是采用部分自由资金加银行借款,按照国家发改委有关规定,自由资金一般应该为30%,贷款为70%,因此Rf估算可以采用以下方式:

4.案例
无形资产折现率估算案例









