第八章 成本管理
主讲老师 田明
本章考情分析
本章属于重点章。本章第二节量本利分析与第二章财务管理基础中第三节成本性态有着非常紧密的联系,本章其他内容相对独立,与其他章节联系不大。
本章近5年的平均分值为13分。题型可以出客观题,也可以出计算分析题,甚至综合题。计算分析题和综合题的出题点主要集中在各类成本差异的计算、量本利分析的相关计算以及利润中心和投资中心的评价指标的计算及应用上。
2017年考试重点把握:(1)成本管理的目标和内容;(2)量本利分析的相关内容;(3)标准成本的确定以及各类成本差异的计算;(4)作业成本法的相关概念、计算和作业成本管理;(5)责任中心及其考核和内部转移价格的制定。特别是量本利分析的相关内容、各类成本差异的计算、作业成本法的计算以及利润中心和投资中心考核指标的计算可能涉及主观题。
本章教材主要变化
2017年教材本章内容与2016年教材相比,无实质性变化,仅修改两处表述:
(1)“营业利润”修改为“息税前利润”;
(2)“平均营业资产”修改为“平均经营资产”。
本章考点精讲及经典题解
【考点一】成本管理的目标(掌握)
☆考点精讲
从成本管理活动所涉及的层面来看,成本管理的目标可以区分为总体目标和具体目标两个方面。
(一)总体目标
成本管理的总体目标服从于企业的整体经营目标。在竞争性经济环境中,成本管理系统的总体目标主要依据竞争战略而定;
成本领先战略中,成本管理的总体目标是追求成本水平的绝对降低;差异化战略中,成本管理的总体目标则是保证实现产品、服务等方面差异化的前提下,对产品全生命周期成本进行管理,实现成本的持续降低。
(二)具体目标
成本管理的具体目标是对总体目标的进一步细分,主要包括成本计算的目标和成本控制的目标。
成本计算的目标是为所有内、外部信息使用者提供成本信息成本控制的目标是降低成本水平。在竞争性经济环境中,成本目标因竞争战略的不同而有所差异。实施成本领先战略的企业中,成本控制的目标是在保证一定产品质量和服务的前提下,最大程度地降低企业内部成本,表现为对生产成本和经营费用的控制。实施差异化战略的企业中,成本控制的目标则是在保证企业实现差异化战略的前提下,降低产品全生命周期成本,实现持续性的成本节省,表现为对产品所处生命周期不同阶段发生成本的控制,如对研发成本、供应商成本和消费成本的重视和控制。
【考点二】成本管理的主要内容(熟练掌握)
☆考点精讲
一般来说,成本管理具体包括成本规划、成本核算、成本分析、成本控制和成本考核等五项内容。
(一)成本规划
成本规划是进行成本管理的第一步,主要是指成本管理的战略制定。它从总体上规划成本管理工作,并为具体的成本管理提供战略思路和总体要求。成本规划根据企业的竞争战略和所处的内外部环境制定。
(二)成本核算
成本核算分为财务成本的核算和管理成本的核算。财务成本核算采用历史成本计量,而管理成本核算既可以用历史成本又可以是现在成本或未来成本。
(三)成本控制
成本控制的原则主要有以下三方面:一是全面控制原则,即成本控制要全部、全员、全程控制。二是经济效益原则。提高经济效益不单单是依靠降低成本的绝对数,更重要的是实现相对的节约,以较少的消耗取得更多的成果,取得最佳的经济效益。三是例外管理原则。即成本控制要将注意力集中在非正常的例外事项上。
(四)成本分析
通过成本分析,可以深入了解成本变动的规律,寻求成本降低的途径,为有关人员进行成本规划和经营决策提供参考依据。
(五)成本考核
成本考核是定期对成本计划及有关指标实际完成情况进行总结和评价,对成本控制的效果进行评估。成本考核指标可以是财务指标,也可以是非财务指标。
☆经典题解
【例题1•单选题】在企业的日常经营管理工作中,成本管理工作的起点是( )。(2014年)
A.成本规划
B.成本核算
C.成本控制
D.成本分析
【答案】A
【解析】成本规划是进行成本管理的第一步,即成本管理工作的起点是成本规划。所以,选项A正确。
【考点三】量本利分析概述(掌握)
☆考点精讲
(一)量本利分析的含义
量本利分析,也叫本量利分析,简称CVP分析,它是在成本性态分析和变动成本计算模式的基础上,通过研究企业在一定期间内的成本、业务量和利润三者之间的内在联系,揭示变量之间的内在规律性,为企业预测、决策、规划和业绩考评提供必要的财务信息的一种定量分析方法。
(二)量本利分析的基本假设
一般来说,量本利分析主要基于以下四个假设前提:
1.总成本由固定成本和变动成本两部分组成
该假设要求企业所发生的全部成本可以按其性态区分为变动成本和固定成本,并且变动成本总额与业务量成正比例变动,固定成本总额保持不变。在相关范围内,固定成本总额和单位变动成本通常是与业务量大小无关的。因此,按成本习性划分成本是量本利分析的基本前提条件。
2.销售收入与业务量呈完全线性关系
该假设要求销售收入必须随着业务量的变化而变化,两者之间应保持完全线性关系,因此,当销售量在相关范围内变化时,产品的单价不会发生变化。
3.产销平衡
假设当期产品的生产量与业务量相一致,不考虑存货水平变动对利润的影响。即假定每期生产的产品总量总是能在当期全部销售出去,产销平衡。假设产销平衡,主要是在保本分析时不考虑存货的影响。
4.产品产销结构稳定
假设同时生产销售多种产品的企业,其销售产品的品种结构不变。即在一个生产与销售多种产品的企业,以价值形式表现的产品的产销总量发生变化时,原来各产品的产销额在全部产品的产销额中所占的比重不会发生变化。这是因为在产销多种产品的情况下,保本点会受到多种产品贡献和产销结构的影响,只有在产销结构不变的基础进行的保本分析才是有效的。
☆经典题解
【例题2•单选题】下列关于量本利分析基本假设的表述中,不正确的是( )。(2015年)
A.产销平衡
B.产品产销结构稳定
C.销售收入与业务量呈完全线性关系
D.总成本由营业成本和期间费用两部组成
【答案】D
【解析】量本利分析的主要假设前提有:(1)总成本由固定成本和变动成本两部分组成;(2)销售收入与业务量呈完全线性关系;(3)产销平衡;(4)产品产销结构稳定。所以,选项D不正确。
(三)量本利分析的基本原理
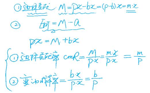
1.量本利分析的基本关系式
息税前利润=单价×销售量-单位变动成本×销售量-固定成本
这个方程式是明确表达量本利之间数量关系的基本关系式。它含有五个相互联系的变量,给定其中四个变量,便可求出另外一个变量的值。

2.边际贡献
边际贡献是指销售收入减去变动成本后的余额。表示边际贡献的方法有三种:一是用总额来表示,即边际贡献;二是用单位金额来表示,即单位边际贡献;三是用相对数表示,即边际贡献率。
(1)边际贡献=销售收入总额-变动成本总额
=(销售单价-单位变动成本)×销售量
=单位边际贡献×销售量
=固定成本总额+营业利润
(2)单位边际贡献=销售单价-单位变动成本
(3)边际贡献率=边际贡献总额÷销售收入总额×100%=单位边际贡献÷单价×100%
【提示】边际贡献率+变动成本率=1
从上述有关公式可以看出,企业的边际贡献与营业利润有着密切的关系;边际贡献首先用于补偿企业的固定成本,只有当边际贡献大于固定成本才能为企业提供利润,否则企业将亏损。
【考点四】单一产品量本利分析(熟练掌握)
☆考点精讲
(一)保本分析
保本分析,又称盈亏临界分析,是研究当企业恰好处于保本状态时量本利关系的一种定量分析方法,是量本利分析的核心内容。


1.保本点
保本点是指企业处于不盈不亏、利润为零时的业务量或金额。表示保本点的方法有三种:
一是用实物数量来表示,即保本销售量;二是用货币金额来表示,即保本销售额;三是用相对数表示,即盈亏临界点作业率。
(1)保本销售量=固定成本总额÷(单价-单位变动成本)=固定成本总额÷单位边际贡献
(2)保本销售额=保本销售量×单价=固定成本总额÷(1-变动成本率)=固定成本总额÷边际贡献率
(3)保本作业率=保本销售量÷正常销售量=保本销售额÷正常销售额×100%
保本作业率表明企业保本的销售量在正常经营销售量中所占的比重。该指标可以提供企业在保本状态下对生产能力利用程度的要求。
企业经营管理者总是希望企业的保本点越低越好,保本点越低,企业的经营风险就越小。从保本点的计算公式可以看出,降低保本点的途径主要有三个:
(1)降低固定成本总额。在其他因素不变时,保本点的降低幅度与固定成本的降低幅度相同。
(2)降低单位变动成本。在其他因素不变时,可以通过降低单位变动成本降低保本点,但两者降低的幅度并不一致。
(3)提高销售单价。在其他因素不变时,可以通过提高单价来降低保本点,同降低单位变动成本一样,销售单价与保本点的变动幅度也不一致。
(二)量本利分析图
根据数据信息的差异和分析目的不同,量本利分析图有多种表现形式。
1.基本的量本利分析图
基本的量本利分析图是根据量本利的基本关系绘制的,也称保本点图。在量本利分析图中,横坐标代表销售量,纵坐标代表收入和成本,则销售收入线和总成本线的交叉点就是保本点。
基本的量本利分析图表达的意义有:
(1)固定成本与横轴之间的区域为固定成本值,它不因产量增减而变动,总成本线与固定成本线之间的区域为变动成本,它随产量而呈正比例变化。
(2)总收入线与总成本线的交点是保本点,通过图示可以直观地看出保本销售量和保本销售额。
(3)在保本点以上的总收入线与总成本线相夹的区域为盈利区,保本点以下的总收入线与总成本线相夹的区域为亏损区。因此,只要知道销售数量或销售金额信息,就可以在图上判明该销售状态下的结果是亏损还是盈利,易于理解,直观方便。
2.边际贡献式量本利分析图
边际贡献式量本利分析图主要反映销售收入减去变动成本后形成的边际贡献,而边际贡献在弥补固定成本后形成利润。此图的主要优点是可以表示边际贡献的数值。边际贡献随销量增加而扩大,当其达到固定成本值时(即在保本点),企业处于保本状态;当边际贡献超过固定成本后企业进入盈利状态。
(三)安全边际分析
保本点是企业经营成果允许下降的下限,作为经营者,总是希望企业在保本的基础上获取更大的利润。在企业经营活动开始前,根据企业的具体条件,通过分析制订出实现目标利润的销售数量(或销售金额),形成安全边际。
安全边际
安全边际是指企业实际(或预计)销售额超过保本销售额的差额,表示销售额下降多少企业仍不至于亏损。表示安全边际的方法有三种:
一是用实物数量来表示,即安全边际量;二是用货币金额来表示,即安全边际额;三是用相对数来表示,即安全边际率。
(1)安全边际量=实际(或预计)销售量-保本销售量
(2)安全边际额=实际(或预计)销售收入-保本销售收入
(3)安全边际率=安全边际量÷实际(或预计)销售量=安全边际额÷实际(或预计)销售收入×100%
提示1
【提示】
安全边际量+保本销售量=实际(或预计)销售量
安全边际额+保本销售额=实际(或预计)销售额
安全边际率+保本作业率=1
—般来讲,安全边际体现了企业在生产经营中的风险程度大小。由于保本点是下限,所以,目标销售量(或销售金额)和实际销售量(或销售金额)二者与保本点销售量(或销售金额)差距越大,安全边际或安全边际率越大,反映出该企业经营风险越小;反之则相反。
通常采用安全边际率这一指标来评价企业经营是否安全。下表为安全边际率与评价企业经营安全程度的一般性标准,该标准可以作为企业评价经营安全与否的参考。
|
安全边际率 |
40%以上 |
30%—40% |
20%—30% |
10%—20% |
10%以下 |
|
经营安全程度 |
很安全 |
安全 |
较安全 |
值得注意 |
危险 |
只有安全边际才能为企业提供利润,而保本销售额扣除变动成本后只为企业收回固定成本。安全边际销售额减去其自身变动成本后成为企业利润,即安全边际中的边际贡献等于企业利润。
(1)息税前利润=边际贡献-固定成本
=单位边际贡献×正常销售量-单位边际贡献×盈亏临界点销售量
=单位边际贡献×(正常销售量-盈亏临界点销售量)
=单位边际贡献×安全边际量

(2)息税前利润=边际贡献-固定成本
=边际贡献率×正常销售收入-边际贡献率×盈亏临界点销售收入
=边际贡献率×(正常销售收入-盈亏临界点销售收入)
=边际贡献率×安全边际额

(3)销售(息税前)利润率=息税前利润÷正常销售收入
=边际贡献率×安全边际额÷正常销售收入
=边际贡献率×安全边际率
从上述关系式可以看出,要提高企业的销售利润率水平主要有两种途径:—是扩大现有销售水平,提高安全边际率;二是降低变动成本水平,提高边际贡献率。
☆经典题解
【例题3•单选题】根据量本利分析原理,下列计算利润的公式中,正确的是( )。(2016年)
A.利润=(销售收入-保本销售额)×边际贡献率
B.利润=保本销售量×边际贡献率
C.利润=销售收入×(1-边际贡献率)-固定成本
D.利润=销售收入×变动成本率-固定成本
【答案】A
【解析】利润=安全边际量×单位边际贡献=安全边际额×边际贡献率。所以选项A正确。
【例题4•单选题】某产品实际销售量为8000件,单价为30元,单位变动成本为12元,固定成本总额为36000元,则该产品的安全边际率为( )。(2016年)
A.25%
B.60%
C.40%
D.75%
【答案】D
【解析】保本销售量=36000/(30-12)=2000(件),安全销售量=8000-2000=6000(件),安全边际率=6000/8000=75%。
【例题5•多选题】下列各项指标中,与保本点呈同向变化关系的有( )。(2013年)
A.单位售价
B.预计销量
C.固定成本总额
D.单位变动成本
【答案】CD
【解析】保本销售量=固定成本/(单价-单位变动成本),由此可以看出,固定成本总额和单位变动成本与保本点销售量同向变化,单价与保本点销售量同方向变化,预计销售量与保本点销售量无关。所以,选项C、D正确。
【例题6•判断题】根据基本的量本利分析图,在销售量不变的情况下,保本点越低,盈利区越小、亏损区越大。( )(2013年)
【答案】×
【解析】在基本的量本利分析图中,横坐标代表销售量,纵坐标代表收入和成本,则销售收入线和总成本线的交点就是保本点,在保本点左边两条直线之间的区域的是亏损区,在保本点右边两条直线之间的区域表示盈利区,因此保本点越低,亏损区会越小,盈利区会越大。
【例题7•单选题】下列关于安全边际和边际贡献的表述中,错误的是( )。
A.边际贡献的大小,与固定成本支出的多少无关
B.边际贡献率反映产品给企业做出贡献的能力
C.提高安全边际或提高边际贡献率,可以提高利润
D.降低安全边际率或提高边际贡献率,可以提高销售利润率
【答案】D
【解析】边际贡献=销售收入-变动成本,即边际贡献的计算与固定成本无关,所以,选项A正确;边际贡献或边际贡献率反映产品的创利能力,所以,选项B正确;息税前利润=安全边际额×边际贡献率,即安全边际额和边际贡献率与息税前利润同方向变动,所以,选项C正确;销售(息税前)利润率=安全边际率×边际贡献率,即安全边际率和边际贡献率与销售(息税前)利润率同方向变动,所以,选项D错误。
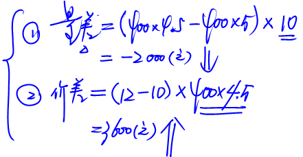
【例题8•多选题】某企业只生产一种产品,单价20元,单位变动成本12元,固定成本为2400元,满负荷运转下的正常销售量为400件。以下说法中,正确的有( )。
A.在“销售量”以金额表示的边际贡献式量本利图中,该企业的变动成本线斜率为12
B.在保本状态下,该企业生产经营能力的利用程度为75%
C.安全边际中的边际贡献等于800元
D.安全边际中的边际贡献等于1000元
【答案】BC
【解析】在横坐标以“销售收入(销售量以金额表示)”表示和纵坐标以金额表示的边际贡献式量本利图中,变动成本=变动成本率×销售收入,所以该企业的变动成本线斜率为变动成本率,即12÷20=60%。在保本状态下,保本销售量=固定成本/单位边际贡献=2400/(20-12)=300(件),则保本作业率=300/400=75%,即该企业生产经营能力的利用程度为75%。安全边际额=(预计销售量-保本销售量)×单价=(400-300)×20=2000(元),则安全边际中的边际贡献=安全边际额×边际贡献率=2000×(1-60%)=800(元)。</hide>
【考点五】多种产品量本利分析(熟练掌握)
☆考点精讲
目前,进行多种产品保本分析的方法包括加权平均法、联合单位法、分算法、顺序法和主要产品法等。
(一)加权平均法
加权平均法是指在各种产品边际贡献的基础上,以各种产品的预计销售收入占总收入的比重为权数,确定企业加权平均的综合边际贡献率,进而分析多品种条件下量本利关系的一种方法。
采用加权平均法计算多种产品保本点销售额的关键,是根据各种产品的销售单价、单位变动成本和销售数量计算出一个加权平均的边际贡献率,然后根据固定成本总额和加权平均的边际贡献率计算出保本点销售额。其计算公式如下:

(二)联合单位法
联合单位法是指在事先确定各种产品间产销实物量比例的基础上,将各种产品产销实物量的最小比例作为一个联合单位,确定每一联合单位的单价、单位变动成本,进行量本利分析的一种分析方法。
该方法将多种产品保本点的计算问题转换为单一产品保本点问题的计算。根据存在稳定比例关系的产销量比,可以计算出每一联合单位的联合单位边际贡献和联合单位变动成本,并以此计算整个企业的联合保本点销售量以及各产品的保本点销售量。
(三)分算法
分算法是指在一定的条件下,将全部固定成本按一定标准在各种产品之间进行合理分配,确定每种产品应补偿的固定成本数额,然后再对每一种产品按单一品种条件下的情况分别进行量本利分析的方法。
该方法的关键是要合理地进行固定成本的分配。在分配固定成本时,对于专属于某种产品的固定成本应直接计入产品成本;对于应由多种产品共同负担的公共性固定成本,则应选择适当的分配标准在各产品之间进行分配。鉴于固定成本需要由边际贡献来补偿,故按照各种产品的边际贡献比重分配固定成本的方法最为常见。
(四)顺序法
顺序法是指按照事先规定的品种顺序,依次用各种产品的边际贡献补偿整个企业的全部固定成本,直至全部由产品的边际贡献补偿完为止,从而完成量本利分析的一种方法。
(五)主要产品法
在企业产品品种较多的情况下,如果存在一种产品是主要产品,它提供的边际贡献占企业边际贡献总额的比重较大,代表了企业产品的主导方向,则可以按该主要品种的有关的资料进行量本利分析,视同于单一品种。确定主要品种应以边际贡献为标志,并只能选择一种主要产品。
☆经典题解
【例题9·单选题】下列关于多种产品加权平均边际贡献率的计算公式中,错误的是( )。
A.加权平均边际贡献率=(Σ各产品边际贡献/Σ各产品销售收入)×100%
B.加权平均边际贡献率=Σ(各产品安全边际率×各产品销售息税前利润率)
C.加权平均边际贡献率=[(利润+固定成本)/Σ各产品销售收入]×100%
D.加权平均边际贡献率=∑(各产品边际贡献率×各产品占总销售比重)
【答案】B
【解析】根据加权平均边际贡献率的含义可知,选项A和选项D的表达式正确;根据:边际贡献=息税前利润+固定成本,所以,选项A正确,即可确定选项C也正确;根据:销售(息税前)利润率=安全边际率×边际贡献率,因此,选项B的表达式错误。
【考点六】目标利润分析(熟练掌握)
☆考点精讲
保本分析是假定企业在盈亏平衡、利润为零的状态下进行的量本利分析。企业不会满足利润为零的保本分析,更加注重于盈利条件下的量本利分析。
(一)目标利润分析
目标利润分析将目标利润引进量本利分析的基本模型,在单价和成本水平既定、确保目标利润实现的前提下,揭示成本、业务量和利润三者之间的关系。
目标利润分析是保本分析的延伸和拓展。如果企业在经营活动开始之前,根据有关收支状况确定了目标利润,那么,就可以计算为实现目标利润而必须达到的销售数量和销售金额,计算公式如下:
目标利润=(单价-单位变动成本)×销售量-固定成本
目标利润销售量=(固定成本+目标利润)/单位边际贡献
目标利润销售额=(固定成本+目标利润)/边际贡献率
或目标利润销售额=目标利润销售量×单价
应该注意的是,目标利润销售量公式只能用于单种产品的目标利润控制;而目标销售额既可以用于单种产品的目标利润控制,也可以用于多种产品的目标利润控制。
还应注意的是上述公式中的目标利润一般是指息税前利润。其实,从税后利润来进行目标利润的规划和分析,更符合企业生产经营的需要。如果企业预测的目标利润是税后利润,则上述公式应作如下调整。
【考点六】 目标利润分析(熟练掌握)
或目标利润销售额=目标利润销售量×单价
应该注意的是,目标利润销售量公式只能用于单种产品的目标利润控制;而目标销售额既可以用于单种产品的目标利润控制,也可以用于多种产品的目标利润控制。
还应注意的是上述公式中的目标利润一般是指息税前利润。其实,从税后利润来进行目标利润的规划和分析,更符合企业生产经营的需要。如果企业预测的目标利润是税后利润,则上述公式应作如下调整。
由于:税后利润=(息税前利润-利息)×(1-所得税税率)
因此:

(二)实现目标利润的措施
通常情况下企业要实现目标利润,在其他因素不变时,销售数量或销售价格应当提高,而固定成本或单位变动成本则应下降。
【考点七】利润敏感性分析(熟练掌握)
☆考点精讲
所谓利润敏感性分析就是研究量本利分析的假设前提中的诸因素发生微小变化时,对利润的影响方向和影响程度。
(一)各因素对利润的影响程度
各相关因素变化都会引起利润的变化,但其影响程度各不相同。反映各因素对利润敏感程度的指标为利润的敏感系数,其计算公式为:敏感系数=利润变动百分比/因素变动百分比。
(二)目标利润要求变化时允许各因素的升降幅度
当目标利润有所变化时,只有通过调整各因素现有水平才能达到目标利润变动的要求。因此,对各因素允许升降幅度的分析,实质上是各因素对利润影响程度分析的反向推算,在计算上表现为敏感系数的倒数。
【提示】当企业的经营活动由盈利转为亏损或为了确保企业经营不亏损,意即告诉利润的变动率为-100%[(0-EBIT)/EBIT],再告诉敏感系数,即可计算出因素的变动率,进而计算出有关因素变动的最大值或最小值。
☆经典例题
【例题10·单选题】某公司生产和销售单一产品,该产品单位边际贡献为2元,2014年销售量为40万件,利润为50万元。假设成本性态保持不变,则销售量的利润敏感系数是( )。(2015年)
A.0.60
B.0.80
C.1.25
D.1.60
【答案】D
【解析】销售量的利润敏感系数即经营杠杆系数,经营杠杆系数=基期边际贡献/基期息税前利润=(40×2)/50=1.6。所以,选项D正确。
【例题11·单选题】C公司的固定成本(包括利息费用)为600万元,资产总额为10000万元,资产负债率为50%,负债平均利息率为8%,净利润为800万元,该公司适用的所得税税率为20%,则税前经营利润对销量的敏感系数是( )。
A.1.43
B.1.2
C.1.14
D.1.08
【答案】C
【解析】税前经营利润(息税前利润)对销量的敏感系数即经营杠杆系数,因此计算税前经营利润对销量的敏感系数即计算经营杠杆系数。
税前经营利润=净利润/(1-所得税税率)+利息=800/(1-20%)+10000×50%×8%=1400(万元)
边际贡献=税前经营利润+固定经营成本=税前经营利润+(固定成本-利息)=1400+(600-10000×50%×8%)=1600(万元)
经营杠杆系数=边际贡献/税前经营利润=1600/1400=1.14。
【考点八】量本利分析在经营决策中的应用(熟练掌握)
量本利分析主要应用包括生产工艺设备的选择和新产品投产的选择。
(一)生产工艺设备的选择
通过计算成本无差别点来决策。
(二)新产品投产的选择
投产新产品可能会减少原有产品的产销量,因而减少的边际贡献为投产新产品的机会成本,在决策时应予以考虑;同时,投产新产品可能会增加专属设备投资,进而增加固定资产折旧费,即增加固定成本。通过比较各套方案的剩余边际贡献(方案本身的边际贡献减去机会成本和增加的固定成本的差额)的大小即可进行决策。
【考点九】标准成本管理(熟练掌握)
☆ 考点精讲
(一)标准成本的类型
类型 | 含义 |
理想标准成本 | 它是指在现有条件下所能达到的最优成本水平。 |
正常标准成本 | 它是指在正常情况下,企业经过努力可以达到的成本标准,这一标准考虑了生产过程中不可避免的损失、故障和偏差。 |
两者关系 | 通常来说,正常标准成本大于理想标准成本。理想标准成本要求异常严格,一般很难达到,而正常标准成本具有客观性、现实性、激励性等特点。 |
(二)标准成本的制定
内容 | 具体项目 | 制定方法 |
直接材料标准成本 | 材料价格标准 | 材料的价格标准通常采用企业编制的计划价格,它通常是以订货合同的价格为基础,并考虑到未来物价、供求等各种变动因素后按材料种类分别计算的。一般由财务部门和采购部门等共同制定。 |
材料用量标准 | 材料的用量标准是指在现有生产技术条件下,生产单位产品所需的材料数量,它包括构成产品实体的材料和有助于产品形成的材料,以及生产过程中必要的损耗和难以避免的损失所耗用的材料。材料的用量标准一般应根据科学的统计调查,以技术分析为基础计算确定 |
续表
内容 | 具体项目 | 制定方法 |
直接人工标准成本 | 直接人工价格标准 | 直接人工的价格标准就是工资率标准,通常由劳动工资部门根据用工情况制定,当采用计时工资时,工资率标准就是单位工时工资率标准,它是由标准工资总额除以标准总工时来计算的 |
直接人工用量标准 | 直接人工用量标准,就是工时用量标准,它是指在现有的生产技术水平下,生产单位产品所耗用的必要的工作时间,包括对产品直接加工工时、必要的间歇或停工工时,以及不可避免的废次品所耗用的工时等,一般由生产技术部门、劳动工资部门等运用特定的技术测定方法和分析统计资料后确定 |
续表
内容 | 具体项目 | 制定方法 |
制造费用标准成本 | 制造费用价格标准 | 制造费用价格标准,也就是制造费用的分配率标准。其计算公式为: 制造费用分配率标准= |
制造费用用量标准 | 制造费用用量标准就是工时用量标准,其含义与直接人工用量标准相同。 |
【提示】
成本按照其性态分为变动成本和固定成本。前者随着产量的变动而变动;后者相对固定,不随产量的变动而变动。所以,制定制造费用标准时,也应分别制定变动制造费用的成本标准和固定制造费用的成本标准。
(三)成本差异的计算与分析
直接材料、直接人工和变动制造费用都属于变动成本,其实际成本高低取决于实际用量和实际价格,标准成本的高低取决于实际产量下的标准用量和标准价格,所以其成本差异可归结为价格脱离标准造成的价格差异与用量脱离标准造成的用量差异两类。
成本总差异=实际产量下实际成本-实际产量下标准成本=价格差异+用量差异


差异类型 | 差异计算 | 差异的责任界定 | |
直接材料成本差异 | 总差异 | 实际产量下材料实际总成本-实际产量下的材料标准总成本 =(实际产量下实际用量-实际产量下标准用量)×标准价格+(实际价格-标准价格)×实际产量下实际用量 =直接材料用量差异+直接材料价格差异 | |
材料用量差异 | (实际产量下实际用量-实际产量下标准用量)×标准价格 | 其主要责任应由生产部门承担 | |
材料价格差异 | 实际产量下实际用量×(实际价格-标准价格) | 其主要责任应由材料采购部门承担 | |
续表
差异类型 | 差异计算 | 差异的责任界定 | |
直接人工成本差异 | 总差异 | 实际产量下的人工实际成本-实际产量下的人工标准成本 =(实际产量下实际人工工时-实际产量下标准人工工时)×标准工资率+(实际工资率-标准工资率)×实际产量下实际人工工时 =直接人工效率差异+直接人工工资率差异 | |
人工效率差异 | (实际产量下实际工时-实际产量下标准工时)×标准工资率 | 其主要责任应由生产部门承担 | |
续表
差异类型 | 差异计算 | 差异的责任界定 | |
直接人工成本差异 | 工资率差异 | 实际产量下实际工时×(实际工资率-标准工资率) | 一般而言,该种差异的责任不在生产部门,劳动人事部门更应对其承担责任 |
变动制造费用成本差异 | 总差异 | 实际产量下实际变动制造费用-实际产量下标准变动制造费用=(实际产量下实际工时-实际产量下标准工时)×标准分配率+(实际分配率-标准分配率)×实际产量下实际工时=变动制造费用效率差异+变动制造费用耗费差异 | |
续表
差异类型 | 差异计算 | 差异的责任界定 | |
变动制造费用成本差异 | 效率差异 | (实际产量下实际工时-实际产量下标准工时)×标准分配率 | 效率差异的形成原因与直接人工效率差异的形成原因基本相同 |
耗费差异 | 实际产量下实际工时×(实际分配率-标准分配率) | 耗费差异是部门经理的责任,他们有责任将变动制造费用控制在弹性预算限额之内 | |
固定制造费用属于固定成本的范畴,因此,固定制造费用成本差异与以上变动成本差异的计算有别。固定制造费用成本差异可以分为两差异分析法和三差异分析法 | |||
续表
总差异=实际产量下固定制造费用-实际产量下标准固定制造费用 =实际产量下的实际工时×实际分配率-实际产量下的标准工时×标准分配率 =耗费差异+能量差异 =耗费差异+产量差异+效率差异 | ||
固定制造费用成本差异 | 两差异分析法 | 两差异法,是将固定制造费用成本差异分为耗费差异和能量差异。 耗费差异=实际产量下实际固定制造费用-预算产量下的标准固定制造费用 =实际固定制造费用-预算产量×标准工时×标准分配率 |
【考点九】 标准成本管理(熟练掌握)(2)
续表
总差异=实际产量下固定制造费用-实际产量下标准固定制造费用 =实际产量下的实际工时×实际分配率-实际产量下的标准工时×标准分配率 =耗费差异+能量差异 =耗费差异+产量差异+效率差异 | ||
固定制造费用成本差异 | 两差异分析法 | 两差异法,是将固定制造费用成本差异分为耗费差异和能量差异。 耗费差异=实际产量下实际固定制造费用-预算产量下的标准固定制造费用 =实际固定制造费用-预算产量×标准工时×标准分配率 |



续表
固定制造费用差异 | 两差异分析法 | =实际固定制造费用-预算产量下标准工时×标准分配率 能量差异=预算产量下标准固定制造费用-实际产量下标准固定制造费用 =(预算产量下标准工时-实际产量下标准工时)×标准分配率 |
三差异分析法 | 三差异分析法,是将固定制造费用成本差异分为耗费差异、效率差异和产量差异三部分 |
续表
固定制造费用差异 | 三差异分析法 | 耗费差异的计算与两差异法相同。不同的是要将二差异法中的“能量差异”进一步分为两部分:一部分是实际产量下实际工时未达到预算产量标准工时而形成的产量差异;另一部分是实际产量下实际工时脱离实际产量下标准工时而形成的效率差异。其计算公式如下: 产量差异=(预算产量下标准工时-实际产量下实际工时)×标准分配率 效率差异=(实际产量下实际工时-实际产量下标准工时)×标准分配率 |
【相关链接】固定制造费用成本差异三差异分析法的计算公式图

☆ 经典题解
【例题12 • 单选题】下列因素中,一般不会导致直接人工工资率差异的是 ( )。(2016年)
A.工资制度的变动
B.工作环境的好坏
C.工资级别的升降
D.加班或临时工的增减
【答案】B
【解析】直接人工工资率差异属于价格差异,其形成原因比较复杂,工资制度的变动、工资级别的升降级、加班或临时工的增减等都将导致工资率差异。工作环境的好坏通常不会导致直接人工工资率差异,而会导致直接人工效率差异。所以选项B正确。
☆ 经典题解
【例题13 • 判断题】理想标准成本考虑了生产过程中不能避免的损失、故障和偏差,属于企业经过努力可以达到的成本标准。( )(2014年)
【答案】×
【解析】正常标准成本考虑了生产过程中不能避免的损失、故障和偏差,属于企业经过努力可以达到的成本标准。
【例题14 · 单选题】在标准成本管理中,成本总差异是成本控制的重要内容。其计算公式是( )。(2013年)
A.实际产量下实际成本-实际产量下标准成本
B.实际产量下标准成本-预算产量下实际成本
C.实际产量下实际成本-预算产量下标准成本
D.实际产量下实际成本-标准产量下的标准成本
【答案】A
【解析】成本总差异=实际产量下实际成本-实际产量下标准成本。
【例题15 · 单选题】某公司月成本考核例会上,各部门经理正在讨论、认定直接人工效率差异的责任部门。根据你的判断,该责任部门应是 ( )。
A.生产部门
B.销售部门
C.供应部门
D.管理部门
【答案】A
【解析】直接人工效率差异,其形成的原因是多方面的,包括工人技术状况、工作环境和设备条件的好坏等,均会影响人工效率的高低,但其主要责任还是在生产部门。所以,选项A正确。
【例题16 · 单选题】在两差异法下,固定制造费用的差异可以分解为( )。(2009年)
A.价格差异和产量差异
B.耗费差异和效率差异
C.能量差异和效率差异
D.耗费差异和能量差异
【答案】D
【解析】在固定制造费用的两差异法下,把固定制造费用差异分为耗费差异和能量差异两个部分。
【例题17 · 单选题】通常情况下,企业经过努力可以达到的成本标准,这一标准考虑了生产过程中不可避免的损失、故障和偏差。则该标准成本为( )。
A.平均实际成本
B.平均标准成本
C.正常标准成本
D.理想标准成本
【答案】C
【解析】正常标准成本是本着“跳起来方可摘桃子”的原则制定的,通过有效的管理和努力应能达到的成本。正常标准成本具有客观性、现实性、激励性等特点,因此被广泛地运用于具体的标准成本的制定过程中。
【例题18 · 单选题】某产品的变动制造费用标准成本为:工时消耗4小时/件,小时分配率6元。本月生产产品300件,实际使用工时1500小时,实际发生变动制造费用12000元。则变动制造费用效率差异为( )元。
A.1800
B.1650
C.1440
D.1760
【答案】A
【解析】本题的主要考核点是变动制造费用效率差异的计算。变动制造费用效率差异=(1500-300×4)×6=1800(元)。
【例题19 · 多选题】直接材料的用量标准是指在现有生产技术条件下,生产单位产品所需要的各种材料消耗量,包括( )。
A.构成产品实体的直接材料数量
B.有助于产品形成的材料数量
C.生产中必要的材料损耗量
D.不可避免的废品所消耗的材料数量
【答案】ABCD
【解析】本题的主要考核点是直接材料的用量标准的构成。直接材料的用量标准是指在现有生产技术条件下生产单位产品所需要的各种材料消耗量,包括:构成产品实体的直接材料数量;有助于产品形成的材料数量;生产中必要的材料损耗量;难以避免的损失所消耗的材料数量。
【例题20 · 多选题】直接人工标准成本中的用量标准是指在现有生产技术条件下,生产单位产品需用的必要工作时间,包括( )。
A.产品直接加工所用时间
B.生产工人必要的休息和生理上所需时间
C.必要的停工时间
D.机器设备的停工清理时间
【答案】ABCD
【解析】本题的主要考核点是直接人工标准成本中的用量标准的构成。直接人工标准成本中的用量标准是指在现有生产技术条件下,生产单位产品需用的必要工作时间,包括:产品直接加工所用工时;必要的间歇工时;必要的停工工时;不可避免的废次品所耗用的工作工时。
【例题21 · 判断题】通常,正常标准成本小于理想标准成本。( )
【答案】×
【解析】通常,正常标准成本大于理想标准成本。
【例题22 · 判断题】变动制造费用耗费差异是指变动制造费用的实际小时分配率脱离标准分配率的差额与实际工时的乘积。( )
【答案】√
【解析】本题的主要考核点是变动制造费用耗费差异的含义。
变动制造费用耗费差异=实际工时×(变动制造费用实际分配率-变动制造费用标准分配率)。
【考点十】作业成本计算
☆考点精讲
|
项目 |
要点阐释 |
|
作业 成本 计算 法 |
(1)含义:作业成本计算法基于资源耗用的因果关系进行成本分配:根据作业活动耗用资源的情况,将资源耗费分配给作业;再依照成本对象的情况,把作业成本分配给成本对象 (2)特点:在作业成本法下,对于直接费用的确认和分配与传统的成本计算方法一样,而间接费用的分配对象不再是产品,而是作业活动成本分配时,首先根据作业中心的资源耗费情况,将资源耗费的成本(即间接费用)分配到作业中心去,然后再将分配到作业中心的成本,依据作业活动的数量分配到各产品中去 (3)优势:作业成本法很好地克服了传统成本方法中间接费用责任划分不清的缺点,使以往一些不可控的间接费用变为可控,这样可以更好地发挥决策、计划和控制的作用,以促进作业管理和成本控制水平的不断提高 |
|
资源 |
资源是企业生产耗费的原始形态,是成本产生的源泉。—个企业的资源包括直接人工、直接材料、间接制造费用等 |

续表
|
项目 |
要点阐释 |
|
作业 |
(1)含义:作业是指在一个组织内为了某一目的而进行的耗费资源动作。它是作业成本计算系统中最小的成本归集单元。作业贯穿产品生产经营的全过程,从产品设计、原料采购、生产加工,直至产品的发运销售。在这一过程中,每个环节、每道工序都可以视为一项作业 (2)类型:作业按其层次分类,可以分为单位作业、批次作业、产品作业和支持作业。其中:单位作业是指使单位产品受益的作业,作业的成本与产品的数量成正比。如加工零件、对毎件产品进行的检验等。批次作业是指使一批产品受益的作业,作业的成本与产品的批次数量成正比,如设备测试,生产准备等作业活动 产品作业是指使某种产品的毎个单位都受益的作业,如产品工艺设计作业等。支持作业是指维持企业正常生产,而使所有产品都受益的作业,作业的成本和产品的数量无相关关系,如厂房维修、管理作业等。通常认为单位作业、批次作业、产品作业以外的所有作业均是支持作业 |
|
成本 动因 |
(1)含义:成本动因,亦称成本驱动因素,是指导致成本发生的因素,即成本的诱因。成本动因通常以作业活动耗费的资源来进行度量 (2)分类:在作业成本法下,成本动因是成本分配的依据,成本动因又可分为资源动因和作业动因 (3)应用:资源动因是引起作业成本变动的驱动因素。资源动因反映作业量与耗费之间的因果关系。资源动因被用来计量各项作业对资源的耗用,根据资源动因可将资源成本分配给各有关作业; 作业动因是引起产品成本变动的驱动因素,作业动因计量各种产品对作业耗用的情况,并被用来作为作业成本的分配基础,是沟通资源消耗与最终产出的中介 |
|
作业中心 |
作业中心又称成本库,是指构成一个业务过程的相互联系的作业集合,用来汇集业务过程及其产出的成本。换言之,按照统一的作业动因,将各种资源耗费项目归结在一起,便形成了作业中心。作业中心有助于企业更明晰地分析一组相关的作业,以便进行作业管理以及企业组织机构和责任中心的设计与考核 |
续表
|
项目 |
要点阐释 |
|
作业成本计算法的成本计算 |
(1)计算思路:根据作业成本计算法:“作业耗用资源,产品耗用作业”的基本指导思想,产品成本计算过程可以分为两个阶段:第一阶段,识别作业,根据作业消耗资源的方式,将作业执行中耗费的资源分配(追溯和间接分配)到作业,计算作业的成本。第二阶段,根据产品所消耗的成本动因,将第一阶段计算的作业成本分配(追溯和间接分配)到各有关成本对象 传统的成本计算方法也是分两步进行,但成本中心是按部门建立的。第一步除了把直接成本追溯到产品以外,还要把不同性质的各种费用按照部门归集在一起;第二步是以产量为基础,将间接费用分配到各产品 传统成本计算法下,间接成本的分配路径是“资源-部门-产品”。作业成本计算法下,成本计算的第一阶段除了把直接成本追溯到产品以外,还要将各项间接费用分配到各有关作业,并把作业看成是按照产品生产需求重新组合的“资源”;第二阶段按照作业消耗与产品之间不同的因果关系,将作业成本分配到产品。因此,作业成本法下间接成本的分配路径是“资源-作业-产品” (2)具体步骤 ①设立资源库,并归集资源库价值 ②确认主要作业,设立相应的作业中心 在进行作业确认时,理论上要求将有关费用划分得越细越好,但基于成本效益的考虑,一般按重要性和同质性的要求进行作业划分,纳入同一个作业组。纳入同一个作业组的作业应具备两个条件:一是属于同一类作业;二是对于不同产品来说,有着大致相同的消耗比率。如“材料搬运”是一项作业,也可以作为一个作业中心,所有与材料搬运相关的费用都归属到“材料搬运”这一作业中心 ③确定资源动因,并将各资源库汇集的价值分配到各作业中心。资源动因是把资源库价值分配到各作业中心的依据。首先,企业应根据不同的资源,选择合适的资源动因。然后,根据各项作业所消耗的资源动因数,将各资源库的价值分配到各作业中心 ④选择作业动因,并确定各作业成本的动因分配率 ⑤计算作业成本和产品成本 根据每种产品所耗用的成本动因单位数和该作业分配率可以计算该产品应负担的作业成本和单位成本 首先计算耗用的作业成本,计算公式为: 某产品耗用的作业成本=∑(该产品耗用的作业量×实际作业成本分配率) 然后计算当期发生成本,即产品成本,直接材料成本、直接人工成本和各项作业成本共同构成某产品当期发生的总成本,计算公式为: 某产品当期发生成本=当期投入该产品的直接成本+当期该产品耗用的各项作业成本 其中:直接成本=直接材料成本+直接人工成本 |
续表
|
项目 |
要点阐释 |
|
作业成本分配率 |
(1)实际作业成本分配率: ①公式:实际作业成本分配率
②应用:多用于作业产品比较稳定的企业 ③缺点:不能随时提供决策所需的成本信息;不同会计期间作业成本不同,作业需求量也不同。因此,计算出的成本分配率时高时低;不利于划清造成成本高低的责任归属 (2)预算作业成本分配率: ①公式:预算作业成本分配率
②优点:能随时提供决策所需的成本信息;可以避免因作业成本变动和作业需求不足而引起的产品成本波动;有利于分清造成成本高低的责任归属 |
【考点十】作业成本计算
【提示】通常,低产量、生产过程复杂的产品在传统成本计算法下的单位成本显著低于作业成本法下的单位成本,而高产量、生产过程简单的产品的单位成本恰恰相反。两种不同成本计算方式下成本差异的原因,从表面上看是由于制造费用总额按直接人工工时分配与分成各部分按作业分配而导致的,但从实质上反映了两种计算方式所提供的成本信息的不同质量。作业成本计算方式下,由于将制造费用按作业分为几个不同部分,每部分按不同的分配标准分配,与传统的按单一分配标准进行分配的方式比较,其准确性要高,科学性要强。
大量的经验调查表明,生产量大而技术复杂程度低的产品,在传统成本计算方式下,由于其消耗的人工工时比重大,分摊的制造费用数额较大,而在作业成本计算方式下,这类产品由于技术复杂程度低,其消耗的作业量相对较少,分摊的制造费用会相对降低。生产量小而技术复杂程度高的产品则刚好与上述情形相反。简言之,传统的成本计算方式低估了生产量小而技术复杂程度高的产品的成本,高估了生产量大而技术复杂程度低的产品成本。
☆经典题解
【例题23•单选题】下列成本项目中,与传统成本法相比,运用作业成本法核算更具有优势的是( )。(2015年)
A.直接材料成本
B.直接人工成本
C.间接制造费用
D.特定产品专用生产线折旧费
【答案】C
【解析】在作业成本法下,对于直接费用的确认和分配与传统的成本计算方法一样,而间接费用的分配对象不再是产品,而是作业活动。采用作业成本法,制造费用按照成本动因直接分配,避免了传统成本计算法下的成本扭曲。所以,选项C正确。
【例题24•单选题】按作业层次的不同,企业的作业可以分为以下四类。其中,随产量变动而正比例变动的作业是( )。
A.单位作业
B.批次作业
C.产品作业
D.支持作业
【答案】A
【解析】单位作业(即与单位产品产出相关的作业)是随着产量变动而成正比例变动的。因此,选项A正确;批次作业(即与产品的批次数量相关的作业)是随着产品的批次数量的变动而成正比例变动的。因此,选项B错误;产品作业(即与产品品种相关的作业)是随着产品的品种变动而变动的,因此,选项C错误;支持作业是指为维持企业的生产条件而产生的作业,它们有益于整个企业,而不是针对具体产品。实际上,它们属于固定成本,不随产量、批次、品种等的变动而变动,应该作为期间成本处理。因此,选项D错误。
【例题25•多选题】下列各项中,适合作为单位作业的作业动因有( )。
A.生产准备次数
B.零部件产量
C.采购次数
D.耗电千瓦时数
【答案】BD
【解析】单位作业是与单位产品产出相关的作业,通常随着产量变动而成正比例变动,一般以机器工时或人工工时等来计量。
【例题26•判断题】作业成本计算法与传统成本计算法的主要区别是间接费用的分配方法不同。( )(2016年)
【答案】√
【解析】作业成本计算法与传统成本计算法的主要区别集中在对间接费用的归集和分配上。
【例题27•判断题】在作业成本法下,成本动因是导致成本发生的诱因,是成本分配的依据。( )(2012年)
【答案】√
【解析】成本动因,亦称成本驱动因素,是指导致成本发生的因素,即成本的诱因。成本动因通常以作业活动耗费的资源来进行度量,如质量检查次数、用电度数等。在作业成本法下,成本动因是成本分配的依据。
【例题28•单选题】下列关于成本动因(又称成本驱动因素)的表述中,不正确的是( )。
A.成本动因可作为作业成本法中成本分配的依据
B.成本动因可按作业活动耗费的资源进行度量
C.成本动因可分为资源动因和生产动因
D.成本动因可以导致成本的发生
【答案】C
【解析】在作业成本法下,成本动因是成本分配的依据,所以,选项A正确;成本动因通常以作业活动耗费的资源来进行度量,所以,选项B正确;成本动因分为资源动因和作业动因,所以,选项C不正确;成本动因,是指导致成本发生的因素,所以,选项D正确。
【例题29•判断题】传统成本管理的对象是产品,作业成本管理的对象是作业。( )
【答案】×
【考点十一】作业成本管理
☆考点精讲
作业成本管理是一种符合战略管理思想要求的现代成本计算和管理模式。它既是精确的成本计算系统,也是改进业绩的工具。作业成本管理包含两个维度的含义:成本分配观和流程观。
成本分配观,它说明成本对象引起作业需求,而作业需求又引起资源的需求。因此,成本分配是从资源到作业,再从作业到成本对象,而这一流程正是作业成本计算的核心。
成本流程观,它为企业提供引起作业的原因(成本动因)以及作业完成情况(业绩计量)的信息。流程观关注的是确认作业成本的根源、评价已经完成的工作和已实现的结果。企业利用这些信息,可以改进作业链,提高从外部顾客获得的价值。
流程价值分析关心的是作业的责任,包括成本动因分析、作业分析和业绩考核三个部分。其基本思想是:以作业来识别资源,将作业分为增值作业和非增值作业,并把作业和流程联系起来,确认流程的成本动因,计量流程的业绩,从而促进流程的持续改进。
1.成本动因分析
2.作业分析
分析和评价作业、改进作业和消除非增值作业构成了流程价值分析与管理的基本内容。改进流程首先需要将每一项作业分为增值作业或非增值作业,明确增值成本和非增值成本,然后再进一步确定如何将非增值成本减至最小。
所谓增值作业,就是那些顾客认为可以增加其购买的产品或服务的有用性,有必要保留在企业中的作业。一项作业必须同时满足下列三个条件才可断定为增值作业:
(1)该作业导致了状态的改变;
(2)该状态的变化不能由其他作业来完成;
(3)该作业使其他作业得以进行。
增值作业又可分为高效作业和低效作业。增值成本即是那些以完美效率执行增值作业所发生的成本,或者说,是高效增值作业产生的成本。而那些增值作业中因为低效率所发生的成本则属于非增值成本。
非增值作业,是指即便消除也不会影响产品对顾客服务的潜能,不必要的或可消除的作业,如果一项作业不能同时满足增值作业的三个条件,就可断定其为非增值作业。执行非增值作业发生的成本全部是非增值成本,持续改进和流程再造的目标就是寻找非增值作业,将非增值成本降至最低。
在区分增值成本与非增值成本之后,企业要尽量消除或减少非增值成本,最大化利用增值作业,以减少不必要的耗费,提升经营效率。
作业成本管理中进行成本节约的途径,主要有以下四种形式:
(1)作业消除:消除非增值作业或不必要的作业,降低非增值成本;
(2)作业选择:对所有能够达到同样目的的不同作业,选取其中最佳的方案;
(3)作业减少:以不断改进的方式降低作业消耗的资源或时间;
(4)作业共享:利用规模经济来提高增值作业的效率。
作业分析是流程价值分析的核心,通过对作业的分析研究,进而采取措施,消除非增值作业,改善低效作业,优化作业链,对于削减成本、提高效益具有非常重要的意义。
3.作业业绩考核
实施作业成本管理,其目的在于找出并消除所有非增值作业,提高增值作业的效率,削减非增值成本。若要评价作业和流程的执行情况,必须建立业绩指标,可以是财务指标,也可以是非财务指标,以此来评价是否改善了流程。财务指标主要集中在增值成本和非增值成本上,可以提供增值与非增值报告,以及作业成本趋势报告。而非财务指标主要体现在效率、质量和时间三个方面,如投入产出比、次品率和生产周期等。
☆经典题解
【例题30•多选题】作业成本管理的一个重要内容是寻找非增值作业,将非增值成本降至最低,下列各项中,属于非增值作业的有( )。(2016年)
A.从仓库到车间的材料运输作业
B.零部件加工作业
C.零部件组装作业
D.产成品质量检验作业
【答案】AD
【解析】非增值作业,是指即便消除也不会影响产品对顾客服务的潜能,不必要的或可消除的作业。从仓库到车间的材料运输作业(选项A),可以通过将原料供应商的交货方式改变为直接送达原料使用部门从而消除,所以属于非增值作业;产成品质量检验作业(选项D),只能验证产品是否符合标准,只要产品质量过硬,该项作业完全可以消除,所以属于非增值作业。
【例题31•判断题】对作业和流程的执行情况进行评价时,使用的考核指标可以是财务指标也可以是非财务指标,其中非财务指标主要用于时间、质量、效率三个方面的考核。( )(2015年)
【答案】√
【解析】若要评价作业流程的执行情况,必须建立业绩指标,可以是财务指标,也可以是非财务指标,非财务指标主要体现在效率、质量和时间三个方面,如投入产出比、次品率、生产周期等。
【例题32•多选题】从作业成本管理的角度来看,降低成本的途径具体包括( )。
A.作业消除
B.作业减少
C.作业共享
D.作业选择
【答案】ABCD
【解析】从作业成本管理的角度来看,降低成本的途径主要是改善作业,提高增值作业的效率、消除或减少非增值作业。具体包括:作业消除、作业减少、作业共享、作业选择。
【例题33•多选题】下列关于增值成本与非增值成本的表述中,正确的有( )。
A.执行增值作业发生的成本都是增值成本
B.执行非增值作业发生的成本都是非增值成本
C.一旦确认某项作业为非增值作业,就应当采取措施将其从价值链中消除,不能立即消除的也应采取措施逐步消除
D.作业业绩考核指标可以是财务指标,也可以是非财务指标
【答案】BCD
【解析】非增值成本是由于非增值作业和增值作业的低效率而发生的作业成本,由此可知,选项A错误,选项B正确;增值作业是指那些需要保留在价值链中的作业,而非增值作业是指那些不应保留在价值链中的作业,需要将它们从价值链中消除或通过持续改善逐步消除,所以,选项C正确;若要评价作业和流程的执行情况,必须建立业绩指标,可以是财务指标,也可以是非财务指标,选项D正确。
【考点十二】责任成本管理
☆考点精讲
(一)各类责任中心的定义、类型和考核指标
1.成本中心
成本中心是指有权发生并控制成本的单位。成本中心一般不会产生收入,通常只计量考核发生的成本。
成本中心具有以下特点:
(1)成本中心不考核收益,只考核成本;
(2)成本中心只对可控成本负责,不负责不可控成本;
(3)责任成本是成本中心考核和控制的主要内容。
可控成本是指成本中心可以控制的各种耗费,它应具备三个条件:
(1)该成本的发生是成本中心可以预见的;
(2)该成本是成本中心可以计量的;
(3)该成本是成本中心可以调节和控制的。
成本中心考核和控制主要使用的指标包括预算成本节约额和预算成本节约率。计算公式为:
(1)预算成本节约额=实际产量预算责任成本-实际责任成本;
(2)预算成本节约率=预算成本节约额/实际产量预算责任成本×100%。
成本中心是责任中心中应用最为广泛的一种形式,只要是对成本的发生负有责任的单位或个人都可以成为成本中心。
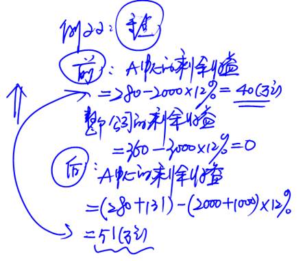
2.利润中心
利润中心是指既能控制成本,又能控制收入和利润的责任单位。它不但有成本发生,而且还有收入发生。因此,它要同时对成本、收入以及收入成本的差额即利润负责。
利润中心的类型包括:
(1)自然利润中心,它是自然形成的,直接对外提供劳务或销售产品以取得收入的责任中心;
(2)人为利润中心,它是人为设定的,通过企业内部各责任中心之间使用内部结算价格结算半成品内部销售收入的责任中心。
考核指标:
(1)边际贡献=销售收入总额-变动成本总额
(2)可控边际贡献=边际贡献-该中心负责人可控固定成本
(3)部门边际贡献=可控边际贡献-该中心负责人不可控固定成本
【提示1】可控边际贡献也称部门经理边际贡献,它衡量了部门经理有效运用其控制下的资源的能力,是评价利润中心管理者业绩的理想指标。
【提示2】部门边际贡献反映了部门为企业利润和弥补与生产能力有关的成本所作的贡献,它更多的用于评价部门业绩而不是利润中心管理者的业绩。
3.投资中心
投资中心是指既能控制成本、收入和利润,又能对投入的资金进行控制的责任中心,如事业部、子公司等其经理所拥有的自主权不仅包括制定价格、确定产品和生产方法等短期经营决策权,而且还包括投资规模和投资类型等投资决策权。
投资中心是最高层次的责任中心,它拥有最大的决策权,也承担最大的责任。投资中心必须是利润中心,但利润中心并不都是投资中心。利润中心没有投资决策权,而且在考核利润时也不考虑所占用的资产。
考核指标:
(1)投资报酬率:投资报酬率是投资中心获得的利润与投资额的比率,其计算公式为:
投资报酬率=息税前利润/平均经营资产。
(2)剩余收益:剩余收益是指投资中心的经营收益扣减经营资产按要求的最低投资报酬率计算的收益额之后的余额。其计算公式为:
剩余收益=息税前利润-(平均经营资产×最低投资报酬率)
考核指标:
(1)投资报酬率:投资报酬率是投资中心获得的利润与投资额的比率,其计算公式为:
投资报酬率=息税前利润/平均经营资产。
(2)剩余收益:剩余收益是指投资中心的经营收益扣减经营资产按要求的最低投资报酬率计算的收益额之后的余额。其计算公式为:
剩余收益=息税前利润-(平均经营资产×最低投资报酬率)

公式中的最低投资报酬率是根据资本成本来确定的。它一般等于或大于资本成本,通常可以采用企业整体的最低期望投资报酬率,也可以是企业为该投资中心单独规定的最低投资报酬率。
投资报酬率主要说明了投资中心运用公司的每单位资产对公司整体利润贡献的大小。它根据现有的会计资料计算,比较客观,可用于部门之间,以及不同行业之间的比较,因此,不仅可以促使经理人员关注经营资产运用效率,而且尤为重要的是,它有利于资产存量的调整,优化资源配置。然而,过于关注投资利润率也会引起短期行为的产生,追求局部利益最大化而损害整体利益最大化目标,导致经理人员为眼前利益而牺牲长远利益。
剩余收益指标弥补了投资报酬率指标会使局部利益与整体利益相冲突的不足,但由于其是一个绝对指标,故而难以在不同规模的投资中心之间进行业绩比较。另外,剩余收益同样仅反映当期业绩,单纯使用这一指标也会导致投资中心管理者的短视行为。


(二)内部转移价格的制定
内部转移价格是指企业内部有关责任单位之间提供产品或劳务的结算价格。内部转移价格直接关系到不同责任中心的获利水平,其制定可以有效地防止成本转移引起的责任中心之间的责任转嫁,使每个责任中心都能够作为单独的组织单位进行业绩评价,并且可以作为一种价格信号引导下级采取正确决策,保证局部利益和整体利益的一致。
|
项目 |
内容 |
含义 |
特点及适用情形 |
|
内部转移价格的类型 |
市场价格 |
根据产品或劳务的市场现行价格作为计价基础 |
市场价格具有客观真实的特点,能够同时满足分部和公司的整体利益,但是它要求产品或劳务有完全竞争的外部市场,以取得市价依据 |
|
协商价格 |
内部责任中心之间以正常的市场价格为基础,并建立定期协商机制,共同确定双方都能接受的价格作为计价标准 |
采用该价格的前提是中间产品存在非完全竞争的外部市场,在该市场内双方有权决定是否买卖这种产品。协商价格的上限是市场价格,下限则是单位变动成本。当双方协商僵持时,会导致公司高层的干预 |
续表
|
内部转移价格的类型 |
双重价格 |
由内部责任中心的交易双方采用不同的内部转移价格作为计价基础 |
采用双重价格,买卖双方可以选择不同的市场价格或协商价格,能够较好地满足企业内部交易双方在不同方面的管理需要 |
|
以成本为基础的转移定价 |
是指所有的内部交易均以某种形式的成本价格进行结算,它适用于内部转移的产品或劳务没有市价的情况,包括完全成本、完全成本加成、变动成本以及变动成本加固定制造费用四种形式 |
简便、客观,但存在信息和激励方面的问题 |
☆ 经典题解
【例题37 • 单选题】以协商价格作为内部转移价格时,该协商价格的下限通常是 ( )。(2016年)
A.单位变动成本
B.单位标准成本
C.单位制造成本
D.单位市场价格
【答案】A
【解析】协商价格的上限是市场价格,下限是单位变动成本。所以选项A正确。
【例题38 • 多选题】根据责任成本管理基本原理,成本中心只对可控成本负责。可控成本应具备的条件有( )。(2015年)
A.该成本是成本中心可计量的
B.该成本的发生是成本中心可预见的
C.该成本是成本中心可调节和控制的
D.该成本是为成本中心取得收入而发生的
【答案】ABC
【解析】可控成本是指成本中心可以控制的各项耗费,它应具备三个条件:第一,该成本的发生是成本中心可以预见的;第二,该成本是成本中心可以计量的;第三,该成本是成本中心可以调节和控制的。所以,选项A、B、C正确。
【例题39 • 单选题】作为内部转移价格的制定依据,下列各项中,能够较好满足企业内部交易双方管理需要的是( )。(2014年)
A.市场价格
B.双重价格
C.协调价格
D.成本加成价格
【答案】B
【解析】采用双重价格,买卖双方可以选择不同的市场价格或协商价格,能够较好地满足企业内部交易双方在不同方面的管理需要。
【例题40 · 单选题】在企业责任成本管理中,责任成本是成本中心考核和控制的主要指标,其构成内容是 ( )。(2013年)
A.产品成本之和
B.固定成本之和
C.可控成本之和
D.不可控成本之和
【答案】C
【解析】责任成本是成本中心考核和控制的主要内容。成本中心当期发生的所有的可控成本之和就是其责任成本。
【例题41 · 单选题】下列各项中,最适用于评价投资中心业绩的指标是( )。(2012年)
A.边际贡献
B.部门毛利
C.剩余收益
D.部门净利润
【答案】C
【解析】对投资中心的业绩进行评价时,不仅要运用利润指标,还需要计算、分析利润与投资的关系,主要有投资报酬率和剩余收益等指标。
【例题42 · 多选题】下列各项指标中,根据责任中心权、责、利关系,适用于利润中心业绩评价的有( )。(2011年)
A.部门边际贡献
B.可控边际贡献
C.投资报酬率
D.剩余收益
【答案】AB
【解析】利润中心的业绩考核指标有边际贡献、可控边际贡献和部门边际贡献。投资报酬率和剩余收益属于投资中心的考核指标。所以,选项A、B正确。
【例题43 · 单选题】下列各项中,一般不作为以成本为基础的转移定价计价基础的是( )。(2010年)
A.完全成本
B.固定成本
C.变动成本
D.变动成本加固定制造费用
【答案】B
【解析】本题的主要考核点是可以作为以成本为基础的转移定价计价的类型。作为以成本为基础的转移定价计价基础包括完全成本、完全成本加成、变动成本以及变动成本加固定制造费用四种形式。因此本题的正确答案是选项B。
【例题44 · 判断题】在不同规模的投资中心之间进行业绩比较时,使用剩余收益指标优于投资报酬率指标。( )(2010年)
【答案】×
【解析】本题的主要考核点是投资中心评价指标的特点。剩余收益指标弥补了投资报酬率指标会使局部利益与整体利益相冲突的不足,但由于其是一个绝对指标,故而难以在不同规模的投资中心之间进行业绩比较。因此本题的说法是错误的。
【例题45 · 多选题】在下列各项中,属于可控成本必须同时具备的条件有( )。(2008年)
A.可以预计
B.可以计量
C.可以施加影响
D.可以落实责任
【答案】ABCD
【解析】可控成本是指成本中心可以控制的各种耗费,它应具备三个条件:(1)该成本的发生是成本中心可以预见的;(2)该成本是成本中心可以计量的;(3)该成本是成本中心可以调节和控制的。选项C和选项D均体现了该成本是成本中心可以调节和控制的。
【例题46 · 单选题】在下列各项内部转移价格中,既能够较好满足供应方和使用方的不同需求又能激励双方积极性的是( )。(2007年)
A.市场价格
B.协商价格
C.双重价格
D.以成本为基础的转移定价
【答案】C
【解析】内部转移价格的类型包括市场价格、协商价格、双重价格和以成本为基础的转移定价四种。其中,双重价格就是针对责任中心各方分别采用不同的内部转移价格所制订的价格。该价格的好处是既可较好满足供应方和使用方的不同需求,又能激励双方在经营上充分发挥主动性和积极性。
【例题47 · 单选题】既能反映投资中心的投入产出关系,又可使个别投资中心的利益与企业整体利益保持一致的考核指标是( )。(2006年)
A.可控成本
B.利润总额
C.剩余收益
D.投资报酬率
【答案】C
【解析】剩余收益指标弥补了投资报酬率指标会使局部利益与整体利益相冲突的不足。
【例题48 · 单选题】某企业的一个成本中心,生产甲产品,预算产量为800件,预算单位成本为50元;实际产量为900件,实际单位成本为46元,则该成本中心的预算成本节约率为 ( )。
A.8.7%
B.-8%
C.-8.7%
D.8%
【答案】D
【解析】预算成本节约额=900×(50-46)=3600(元),预算成本节约率=3600/(50×900)×100%=8%。
【例题49 · 单选题】某企业甲责任中心将A产品转让给乙责任中心时,厂内银行按A产品的单位市场售价向甲支付价款,同时按A产品的单位变动成本从乙收取价款。据此可认为该项内部交易采用的内部转移价格是( )。
A.市场价格
B.协商价格
C.以成本为基础的转移定价
D.双重价格
【答案】D
【解析】双重价格,即是由内部责任中心的交易双方采用不同的内部转移价格作为计价基础。
【例题50 · 单选题】某投资中心的投资额为200000元,企业要求的最低投资报酬率为15%,剩余收益为20000元,则该投资中心的投资报酬率为( )。
A.35%
B.30%
C.28%
D.25%
【答案】D
【解析】由于剩余收益=投资额×(投资报酬率-最低投资报酬率),即20000=200000×(投资报酬率-15%),所以,该中心的投资报酬率=15%+20000/200000=25%。
【例题51 · 判断题】成本的可控与不可控与该责任中心所处管理层次的高低、管理权限及控制范围的大小和运营期的长短没有直接联系。( )
【答案】×
【解析】成本的可控与不可控与该责任中心所处管理层次的高低、管理权限及控制范围的大小和运营期的长短有直接联系。